2024年7月24日,PRL报道了理论与与应用物理研究所许彬课题组的理论研究工作,该研究是关于在基于多铁铁酸铋的亚铁电结构中实现超低功耗电控磁及其物理机制,题目为“Electric Control of Magnetism in Multiferroic Rare-Earth-Substituted BiFeO3 with Ferrielectricity”。物理学院硕士生徐世纪为论文第一作者,许彬教授为通讯作者,物理学院博士生王鑫和美国阿肯色大学Laurent Bellaiche教授也参与了工作。
多铁材料中的电控磁特性近年来获得广泛关注,特别是基于BiFeO3的室温多铁材料,目前最有希望应用于超低功耗存储和逻辑器件。然而,制约BiFeO3应用的两个重要原因是其具有较大的自发极化强度和矫顽场。此前有实验研究发现对BiFeO3进行稀土掺杂可以有效降低极化强度和矫顽场,甚至在多铁-铁磁异质结中观察到了磁电耦合效应,但其中电场控制磁性的微观机制并不明确。
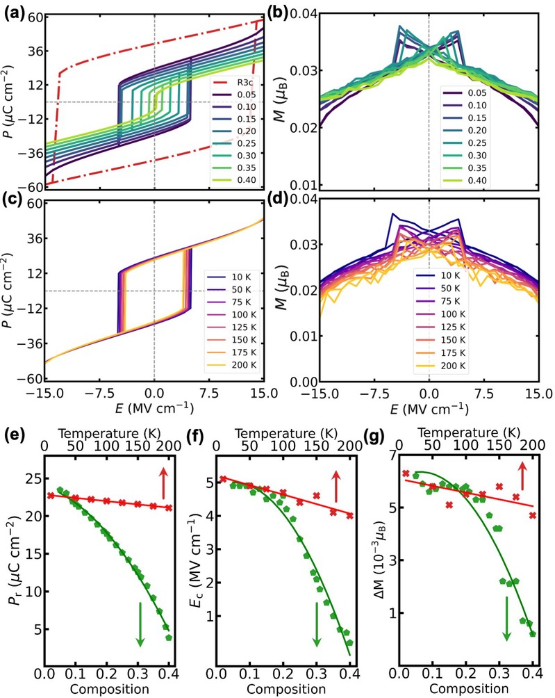
针对这一问题,许彬课题组应用基于第一性原理的有效哈密顿方法系统研究了Nd掺杂BiFeO3中电场对弱铁磁的控制。计算表明,稀土掺杂促进了亚铁电调制结构的出现,其极化强度和翻转势垒都显著降低,可获得远小于BiFeO3的电滞回线,且弱铁磁对电场有明显响应。课题组进一步通过Landau-Devonshire模型解释了这一电控磁现象,揭示了极化和弱铁磁之间的耦合是通过氧八面体转动间接实现的。此外,改变稀土组分和温度可以有效调节回线的大小(图1)。该工作提出的机制对实验上在基于稀土掺杂BiFeO3薄膜的磁性自旋阀结构中观察到的磁电耦合现象提供了理论解释,并有助于推动基于单相多铁材料低功耗自旋电子器件的发展。

图1: 稀土Nd掺杂和温度对电滞回线和电控磁的影响。(a)P-E电滞回线随Nd组分的变化。
(b)M-E曲线随Nd组分的变化。(c)P-E电滞回线随温度的变化。(b)M-E曲线随温度的变化。
该研究得到国家自然科学基金和江苏省双创团队等项目的支持。
文章链接://journals.aps.org/prl/abstract/10.1103/PhysRevLett.133.046801
