近日,许彬教授课题组在《Physical Review Letters》发表了题为“Antiferroelectricity in BiFeO3 Thin Films”的理论研究工作,预测并阐释了铁电薄膜中一种新奇的尺寸效应。该研究以 BiFeO₃(铋铁氧体)为模型体系,揭示了在临界厚度以下出现本征反铁电转变的可能性。物理学院硕士生夏梦慧为论文第一作者,许彬教授和美国阿肯色大学Sukriti Mantri博士为共同通讯作者,该工作还得到了阿肯色大学Laurent Bellaiche教授的指导与支持。
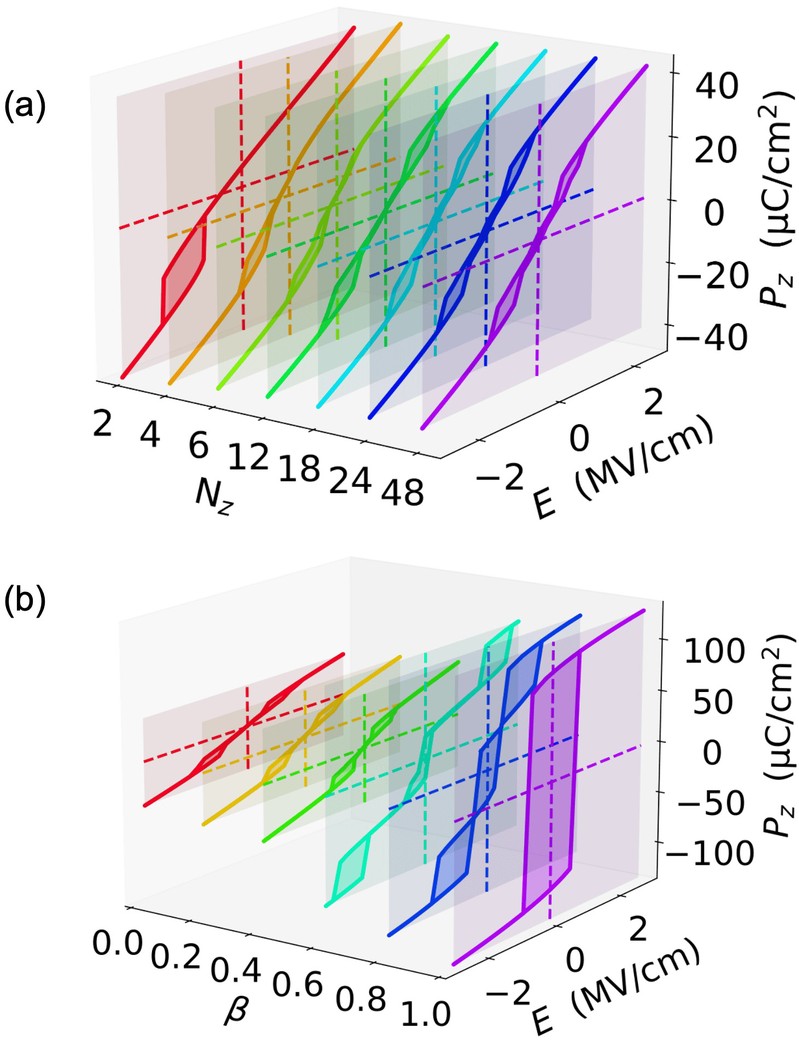
反铁电材料在自然界中十分稀少,而在铁电薄膜中实现本征的铁电–反铁电相变对于新型存储器件具有重要的科学意义与应用潜力。研究团队基于第一性原理有效哈密顿量方法,系统研究了BiFeO3薄膜在不同厚度、温度、应变及表面电荷屏蔽条件下的演化行为。结果显示,通过调控薄膜厚度和界面屏蔽条件,可以在临界厚度以下——甚至在短路条件下——诱导铁电相向反铁电相的转变,并获得具有典型反铁电特征的双电滞回线。
此外,研究团队还建立了一个基于偶极子短程与长程相互作用的理论模型,进一步揭示了反铁电相变的物理机制。研究表明,在一定范围的界面屏蔽条件下,还可实现电场驱动下的“三电滞回线”行为,为多态存储等新型功能器件的设计提供了新的思路。该工作同时探讨了相变的结构起源,为在钙钛矿铁电薄膜中实现反铁电性提供了理论依据。

图1:BiFeO3薄膜在不同厚度和静电边界条件下的 电滞回线。(a) 开路条件下,不同厚度薄膜的 P–E 滞回环。(b) 厚度为12个晶胞的薄膜在不同屏蔽参数下的电滞回线(β = 0 表示开路,β = 1 表示短路)。
该研究得到国家自然科学基金等项目的支持。
文章链接://link.aps.org/doi/10.1103/fqpx-dpbn
